승쨩개발공부
[Unity] Math 두점 사이의 각도구하기 본문
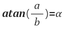
1. 탄젠트를 사용하여 각도 구하기



위 두 공식을 사용하여 두 점 사이의 각도를 구할것입니다. 우선 기준이 될 시작점과 시작점으로부터의 각도를 구할 끝점을 구하기 위해 시작점 벡터에서 끝점 벡터를 빼줍니다. 그러면 시작점에서 부터 끝점으로 향하는 벡터가 구해지는데 이 백터의 x,y를 atan에 넣으면 두 점 사이의 각도를 구할 수 있습니다.

|
1
2
3
4
5
|
float GetAngle(Vector2 start, Vector2 end)
{
Vector2 v2 = end - start;
return Mathf.Atan2(v2.y, v2.x) * Mathf.Rad2Deg;
}
|
cs |
Unity에 두 점 사이의 각도를 구할수 있는 Vector2.Angle() 함수가 있습니다.
'C# > Unity' 카테고리의 다른 글
| [Unity] ThirdPersonController 분석 (0) | 2024.08.08 |
|---|---|
| [Unity] 블라스퍼머스 모작1 (0) | 2024.07.09 |
| [Unity] 충돌여백 (0) | 2024.04.25 |
| [Unity] 폰트 (0) | 2024.04.11 |
| [Unity] 골드메탈 플렛포머(Player)분석 (2) | 2024.04.08 |